The common photographer knows that the Depth of Field varies with aperture, focal length and subject distance. But which one is the dominant parameter ? And how much is the influence of each parameter ? This article uses the equation of the DoF, and demonstrates that when the DoF is short, it varies proportionally with the aperture, and with the square of the focal length and distance to subject.
Some people say a picture is worth a thousand words, but to others a formula is worth a thousand words. Understanding the simplified formula of Depth of Field will spare you the reading of many other articles on this topic.
The exact formula of Depth of Field
Let’s start with the accurate formula of DoF provided by Wikipedia, it is difficult to understand at first sight but we are going to simplify it. (If you do not like maths, you can go directly to the next paragraph).
- A is the aperture number - c is the circle of confusion - f is the focal length - s is the subject distance - DoF is the depth of field :
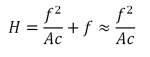
It becomes a bit more readable if we express the DoF as a function of the Hyperfocal distance “H” :

![]()
But that is still complicated so let’s assume 2 conditions to make it simple :
– s>>f which is true unless we shoot macro.
– s<<H which is true if the DoF is short.
The simplified formula of Depth of Field
So here comes the only formula you need to know when you deal with short DoF but not macro photography :
- A is the aperture number - c is the circle of confusion - f is the focal length - s is the subject distance - H is the hyperfocal distance - DoF is the depth of field
Within the assumption that s>>f and s>>H, the DoF is proportional to the aperture number and quadratic with (s/f), which is the inverse of the subject magnification. Here is some practical application of the simplified formula in this situation :
- To step down the aperture from f/4.0 to f/8.0 doubles the DoF.
- Zooming in from 50mm to 100mm without changing your position decrease by x4 the DoF.
- Getting 2x closer to your subject without changing the focal length decrease by x4 the DoF.
- Getting 2x closer to your subject while zooming out from 100mm to 50mm maintains the same DoF, and the same subject magnification. (See the article dedicated to DoF and subject magnification)
What is the accuracy of the simplified formula ?
It is fair to question the accuracy of this simplified formula. The plot below displays next to each other the exact and simplified formula, with a full frame sensor at f8.0 and a focal length of 50mm. In this situation the hyperfocal distance is 11m . As expected the simplified formula is not accurate anymore close to the hyperfocal distance. Still in this situation it is 15% accurate at 1/2 the hyperfocal distance, and 50% accurate at 3/4 of the hyperfocal distance. Estimating the DoF with 50% of accuracy is good enough in a practical situation, what matters is to know if the DoF is 1mm, 1cm, 10cm, 1m or 10m. Whether it is 1m or 1.5m does not make a significant difference. Please note that the scale on the Y axis is logarithmic!

Conclusion
In the end it does not matter if you understand or not where the formula comes from, you can use a tool without to understand how it is made . And if you wonder what is the use of it, what about estimating the DoF in a photograph at one glance ? That will be covered in another article.

- A is the aperture number
- c is the
Good post, but results are strange between simplified and exact formula.
Example for 50 mm à f/11, c = 0.03, s = 5 m :
With simplified :
Dn : 3.02 m
Df : 14.43 m
Dof : 11.4 m
With exact :
Dn : 4.97 m
Df : 5.03 m
Dof : 0.06 m
(make with OpenOffice Calc)
What’s the matter ?
Thanks…
Hi Vic, I find the same result with the simplified formula, but not with the exact one. In the conditions given by your example there should be more than 6cm of DoF, and there should be no noticeable difference between the exact and simplified formula. Maybe double-check how the formula is implemented in you OpenOffice Calc. Let me know if you can match the results of the 2 formulas !
Yes, perhaps bad formula in Calc…
C2 : f
C3 : A
C4 : c
C7 : s
Dn : =C7*C2^2/(C2^2-C3*C4*(C7-C2))
Df : =C7*C2^2/(C2^2+C3*C4*(C7-C2))
Thanks…
Hi Vic, your formulas are correct, just make sure you use meters and not millimeters for all the variables, also f and c 😉
Yes, I don’t think so…
With 5000 in s and with :
Dn : =(C7*C2^2/(C2^2+C3*C4*(C7-C2)))/1000
Df : =(C7*C2^2/(C2^2-C3*C4*(C7-C2)))/1000
Result is :
Dn : 3.0241
Df : 14.4259
Good. Thanks for your help.
But, warning with the simplified formula. When s is very very near of hyperfocal, results are delirious !
Example :
f = 50 mm
A = 8
c = 0.03 mm
H = 10.42 m
If s = 10 m
Simplified : Dn = 250 m
Exact : Dn = 223.2 m
If s = 10.41 m (0.01 m add)
Simplified : Dn = 16265.62 m -> Delirious !
Exact : Dn = 1913.6 m
If s = 10.415 m (0.015 m add)
Simplified : Dn = 65093.75 m -> Very delirious !
Exact : Dn = 2099.79 m
For this reason, I use always a modified simplified formula for Df and Dn :
Df : (H*s)/(H+(s-f/1000))
Df : (H*s)/(H-(s-f/1000))
Now I know the use of exact formula, I understand wich the results are very similar at my modified simplified formula. My simplified formula are more modified with the case where d > H :
Df =IF((B5*B7)/(B5-(B7-B2/1000))<=0;"Infinite";(B5*B7)/(B5-(B7-B2/1000)))
Dof =IF(B8="Infinite";"Infinite";B8-B6)
Where :
B5 = H
B7 = s
B2 = f
B6 = Dn
B8 = Df
Oups for my english, I'm french user…
Hi Vic, I see that you get it !
Indeed my simplified formula is not meant to be accurate close the hyperfocal distance, it is meant for mental calculation, in order to quickly estimate the DoF while shooting a portrait, without to use an excel sheet.
When you rely on an excel sheet there is no need to simplify the formula in my opinion.
Warning, you must consider infinity.
D2 Focal
D3 Aperture
D4 Circle of confusion
D5 Hyperfocal
D7 Focus distance (in mm)
D8 Dn
D9 Df
D10 Dof
D5 =(D2^2/(D3*D4)+D2)/1000
D8 =(D7*D2^2/(D2^2+D3*D4*(D7-D2)))/1000
D9 =IF((D7*D2^2/(D2^2-D3*D4*(D7-D2)))/1000<=0,"Infinite",(D7*D2^2/(D2^2-D3*D4*(D7-D2)))/1000)
D10 =IF(D9="Infinite","Infinite",D9-D8)